Решите пожалуйста:
1 задание - 1 файл
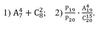
2 задание - 2 файл
Приложения:
FukkaCap:
Пожалуйста с подробным решением.
Ответы
Ответ дал:
0
1) а4/7+с2/8=1/28*(16а+7с) это разложение на множители, если упростить надо то ответ: 4/7а+1/4с
2) 19 и 20 это степени P? Если да то ответ: 16а/57сp; если нет то ответ: 4а/15с
3) условия не полное (на что надо там умножить m+1*.....)
2) 19 и 20 это степени P? Если да то ответ: 16а/57сp; если нет то ответ: 4а/15с
3) условия не полное (на что надо там умножить m+1*.....)
в 3 полное условие
Вас заинтересует
2 года назад
2 года назад
2 года назад
8 лет назад