• Предмет: Алгебра
  • Автор: vladakot158
  • Вопрос задан 3 года назад

прошу с полным решением)))))​

Приложения:

Ответы

Ответ дал: MrSolution
0

Ответ:

(см. объяснение)

Объяснение:

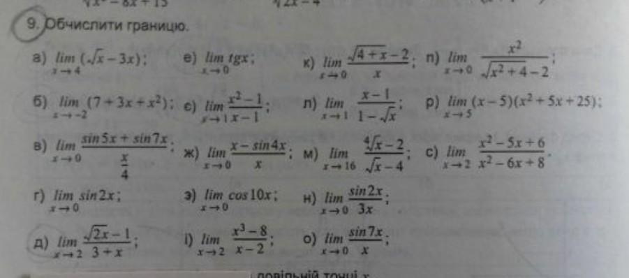
\lim\limits_{x\to2}\dfrac{\sqrt{2x}-1}{3+x}=\dfrac{2-1}{3+2}=\dfrac{1}{5}

Еще покажу одно задание:

\lim\limits_{x\to2}\dfrac{x^2-5x+6}{x^2-6x+8}=\lim\limits_{x\to2}\dfrac{x^2-2x-3x+6}{x^2-2x-4x+8}=\lim\limits_{x\to2}\dfrac{x(x-2)-3(x-2)}{x(x-2)-4(x-2)}=\\=\lim\limits_{x\to2}\dfrac{(x-2)(x-3)}{(x-2)(x-4)}=\lim\limits_{x\to2}\dfrac{x-3}{x-4}=\dfrac{2-3}{2-4}=\dfrac{1}{2}

И последний:

\lim\limits_{x\to0}\dfrac{\sin 2x}{3x}=\lim\limits_{x\to0}\dfrac{\dfrac{d}{dx}\left(\sin 2x\right)}{\dfrac{d}{dx}\left(3x\right)}=\lim\limits_{x\to0}\dfrac{2\cos\left 2x}{3}=\dfrac{2\times\cos\left(2\times0\right)}{3}=\dfrac{2}{3}

Вас заинтересует