• Предмет: Физика
  • Автор: kolamakarov2002
  • Вопрос задан 3 года назад

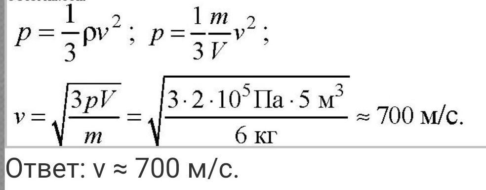
Какова средняя квадратичная скорость движения молекул газа если имея массу 3 кг, он занимает объём 2,5м2, при давлении 400 кПа

Ответы

Ответ дал: elyaxanim07
0

Ответ:

вот тебе решение)

удачи в учебе)

Приложения:
Вас заинтересует