Несобственный интеграл
Приложения:

Lie:
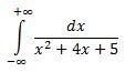
Решить или исследовать на сходимость?
Ответы
Ответ дал:
0
Ответ:
Пошаговое объяснение: ∫dx/(x²+4x+5)= ∫d(x+2)/(x+2)²+1 = lim (внизу после lim поставить знак b⇒∞) (arctg(x+2))|(внизузнак -∞, вверху +∞) = π/2 - π/2=0
Ответ дал:
1
Ответ:π
Пошаговое объяснение:во
Приложения:

Вас заинтересует
2 года назад
2 года назад
7 лет назад
9 лет назад
9 лет назад