• Предмет: Алгебра
  • Автор: efanovvadim
  • Вопрос задан 3 года назад

помогите решить срочно?​

Приложения:

Ответы

Ответ дал: sharofat0
0

Ответ:

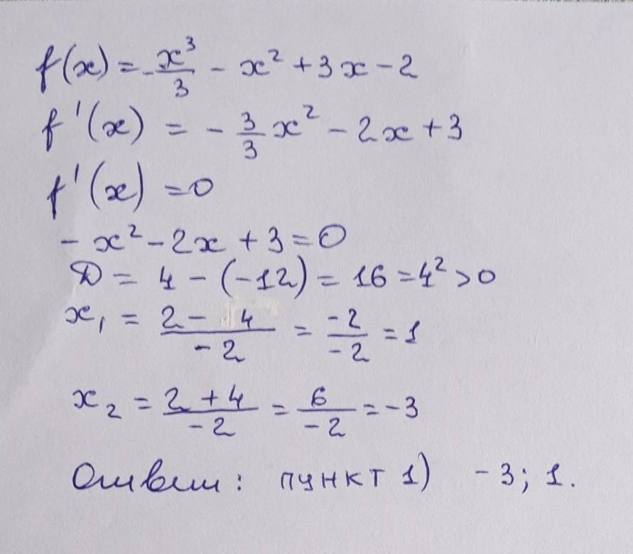
Пункт 1) -3; 1 .

Найти критические точки функции.

Приложения:
Ответ дал: sangers1959
0

Ответ: 1) -3; 1.

Объяснение:

f(x)=-\frac{x^{3} }{3}-x^{2} +3x-2\\ f'(x)=(-\frac{x^{3} }{3}-x^{2} +3x-2)'=-x^{2} -2x+3=0\\-x^{2} -2x+3=0|*(-1)\\x^{2} +2x-3=0\\D=16;\sqrt{D}=4.\\x_{1}=-3;x_{2}=1.

Вас заинтересует