• Предмет: Математика
  • Автор: Atillhan
  • Вопрос задан 3 года назад

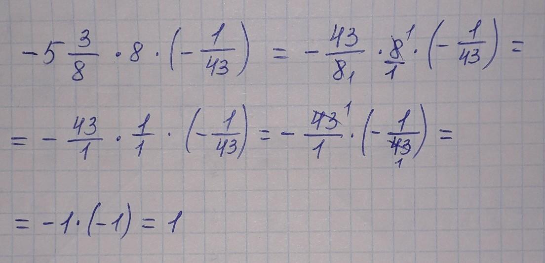
-5 3/8*8*(-1/43)= помогите пожалуйста решить

Ответы

Ответ дал: karinatharchuk0705
1

Ответ на фотографии, списывай всё как написано

Приложения:

Atillhan: Спасибо большое!
karinatharchuk0705: Пожалуйста!
Вас заинтересует