• Предмет: Физика
  • Автор: Iskhak567
  • Вопрос задан 3 года назад

Даю 100 баллов
Решить всё, желательно с решением (хоть некоторые) ​

Приложения:

Ответы

Ответ дал: LiberianSempai
1

Ответ:

1) 0,5 Ом

2) 0,25 Ом

3) 0 Ом (0. ток течет всегда по наименьшему сопротивлению, при замыкание ключа пойдет через него)

4) 12,25 Ом

5) 1,5R

10.6

1) 48 ампер

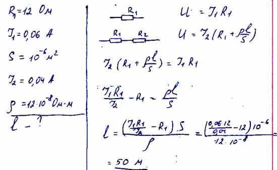
2) 50 м (Ответ в файле)

Объяснение:

1) Проводник 1 и 2 соединены последовательно, 3+3 = 6 Ом, а самый крайний к ним параллелен, значит 1/3+1/6=3/6=0,5 Ом

2) Две верхние лампочки соединены последовательно, т.е 6+6=12 Ом, а нижняя к ним параллельна, значит 1/6+1/12=3/12=0,25 Ом

3) 0. ток течет всегда по наименьшему сопротивлению, при замыкание ключа пойдет через него.

4) Те проводники, которые по 8, они соединены параллельно, т.е 1/8+1/8=1/4=0,25 Ом, а все остальные последовательно 0,25 + 2 + 10 = 12,25 Ом.

5) Т.к у нас сопротивление везде одинаковое, значит, что первые 2 (верхние) соединены последовательно R+R=2R, а нижняя к ним параллельна, то есть 1/R+1/2R (приводим к общему знаменателю, получается 1/2R+2/2R=3/2R=1,5R Ом.

10.6

1) Течет по цепи ток. Если проводники соединены параллельно, то ток "разделится", и в каждом проводнике будет одинаковое количество тока. то есть если идет ток величиной 48 ампер и встречает на своем пути 4 параллельно соединенных проводника, то он разделится на 4 этих проводника. получится что в каждом проводнике будет 48/4 = 12 ампер. если же проводники соединены последовательно, то ток как тек, так и течь будет, ему не надо разделяться. то есть сколько тока в первом проводнике, столько будет и во втором и в третьем при ПОСЛЕДОВАТЕЛЬНОМ соединении, то есть в каждом проводнике будет 48 ампер. а при параллельном соединении - в каждом будет 12.

2) Ответ в файле.

Приложения:
Вас заинтересует