Ответы
Ответ дал:
0
Ответ:
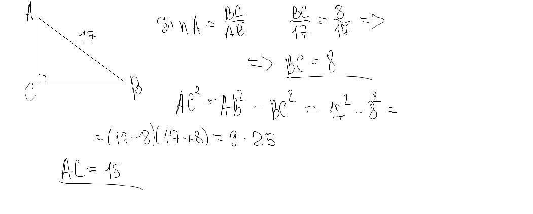
BC=8
AC=15
Объяснение:
Приложения:

Вас заинтересует
2 года назад
2 года назад
2 года назад
2 года назад
7 лет назад
7 лет назад
9 лет назад