Найдите косинус угла между векторами а и б если векторы м=а+2б и н=6а-б перпендикулярны, а=1 б=2
Последнее задание в кр
Срочно
Приложения:

Ответы
Ответ дал:
7
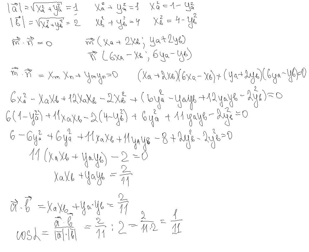
Найти косинус угла между векторами а и в, если вектора m=а+2в , n=6а-в перпендикулярны , |а|=1, |в|=2
Объяснение:
Вектора m⊥ n ⇒m*n=0.
(а+2в)(6а-в)=0
6а²+11ав-2в²=0
а²=|а|²=1 ( скалярный квадрат),
в²=|в|²=4 ( скалярный квадрат).
6*1+11ав-2*4=0
11ав=2
ав=2/11 , ав=|а|*|в|*cos(ав),
cos(ав)=(2/11):(1*2),
cos(ав)=1/11.
Ответ дал:
3
Ответ:
cosa=1/11
Объяснение:
Приложения:

Вас заинтересует
2 года назад
2 года назад
2 года назад
2 года назад
7 лет назад
9 лет назад