Ответы
Ответ дал:
1
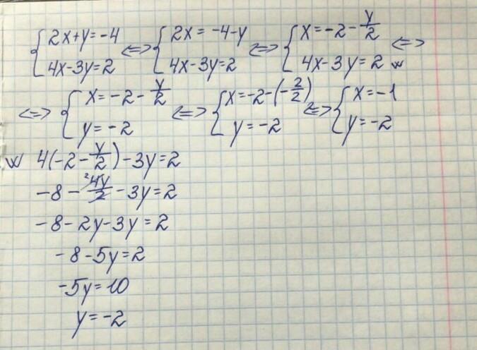
Ответ:
-1;-2
Объяснение:
Удачи☆
Приложения:

makarovasofiy:
прошу пожалуйста
Вас заинтересует
2 года назад
2 года назад
2 года назад
2 года назад
7 лет назад
9 лет назад