Ответы
Ответ дал:
0
Відповідь:(27/5; 77/10)
Пояснення:
Ответ дал:
1
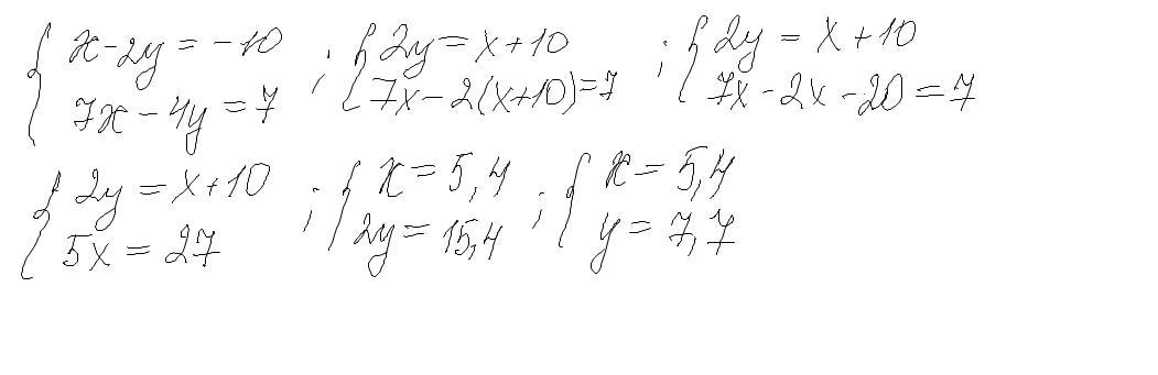
Ответ:
(5,4;7,7)
Объяснение:
Приложения:

Вас заинтересует
2 года назад
2 года назад
2 года назад
2 года назад
7 лет назад
7 лет назад
9 лет назад
9 лет назад