• Предмет: Алгебра
  • Автор: шунгит
  • Вопрос задан 3 года назад

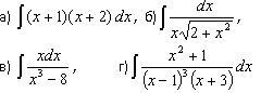
ДОЮ 77 балов только решите пожалуйста с решением

Приложения:

Ответы

Ответ дал: m11m
2

Ответ:

Объяснение:

!!!!!!!!!!!!!!!!!!!!!!

Приложения:
Вас заинтересует