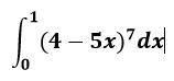
1. Вычислить интеграл:
фото прикреплено внизу
2. Решить неравенство:
Log0,4(12x+2) ⩾ Log0,4(10x+16)
3. Решить уравнение:
2+√5x-4 = x (5x-4 под корнем)
Приложения:

Ответы
Ответ дал:
0
РЕШЕНИЕ НА ФОТО
Надеюсь помог)))
Приложения:


Вас заинтересует
2 года назад
2 года назад
2 года назад
7 лет назад
7 лет назад
9 лет назад