Ответы
Ответ дал:
1
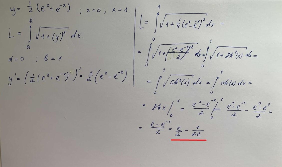
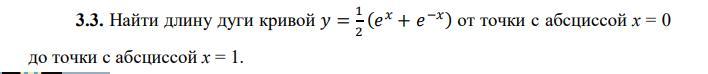
Ответ:
См. фото
Объяснение:
Sh(x) и Ch(x) это гиперболические функции
Приложения:

yurakachura:
если не сложно, можно график?
Вас заинтересует
2 года назад
2 года назад
2 года назад
2 года назад
7 лет назад
7 лет назад
9 лет назад