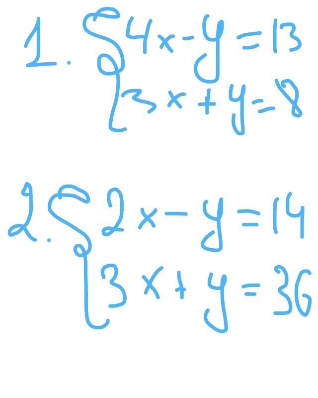
1.Из системы уравнений , найдите разность х-у.
2.Из системы уравнений , найдите сумму х+у.
Приложения:

alinakodza36:
а каким методом решить?
Ответы
Ответ дал:
1
1) Разность=4, сумма=2
у=8-3х
4х-8+3х=13
х=3; у=-1.
2) Разность=4, сумма=16
у=36-3х
2х-36+3х=14
х=10; у=6
Ответ дал:
2
Ответ:
ОООЧЕНЬ неуверена в правильности, но что есть то есть
Приложения:

Вас заинтересует
2 года назад
2 года назад
2 года назад
2 года назад
7 лет назад
7 лет назад
9 лет назад