• Предмет: Алгебра
  • Автор: windy31xx
  • Вопрос задан 3 года назад

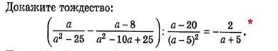
Пожалуйста, помогите решить 1 пример

Приложения:

Ответы

Ответ дал: Universalka
1

1)\frac{a}{a^{2}-25}-\frac{a-8}{a^{2}-10a+25}=\frac{a}{(a-5)(a+5)}-\frac{a-8}{(a-5)^{2}}=\frac{a(a-5)-(a+5)(a-8)}{(a+5)(a-5)^{2}}=\frac{a^{2}-5a-a^{2}+8a-5a+40}{(a+5)(a-5)^{2}}=\frac{-2a+40}{(a+5)(a-5)^{2}}=\frac{-2(a-20)}{(a+5)(a-5)^{2}}\\\\2)\frac{-2(a-20)}{(a+5)(a-5)^{2}}:\frac{a-20}{(a-5)^{2}}=\frac{-2(a-20)}{(a+5)(a-5)^{2}}*\frac{(a-5)^{2}}{a-20}=-\frac{2}{a+5}\\\\-\frac{2}{a+5}=-\frac{2}{a+5}

Что и требовалось доказать.

Вас заинтересует