• Предмет: Математика
  • Автор: eeks
  • Вопрос задан 3 года назад

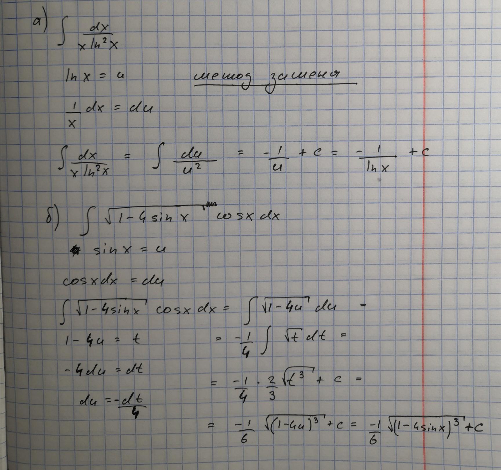
Подробно описать нахождение интегралов

Приложения:

Ответы

Ответ дал: Aramzamzam007
0

Ответ:

Ответ на фото, решение методом замены

Пошаговое объяснение:

Приложения:
Вас заинтересует