• Предмет: Алгебра
  • Автор: Аноним
  • Вопрос задан 3 года назад

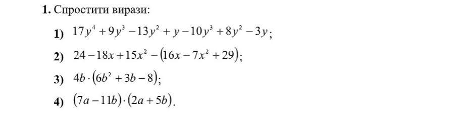
Спростити вирази:
Помогите ​

Приложения:

Ответы

Ответ дал: maryzozuliadog
0

Ответ:

1) 17y(у четверотому степені) - у(у третьому) - 5у(у квадраті) -3у

2) 24 - 18х + 15 х (у кв.) - (16х - 7х(у кв.) + 29) = 24 - 18х + 15х(у кв.) - 16х + 7х(у кв.) - 29) = -5 - 34х + 22х(у кв.)

3) 4б × (6б(у кв.) + 3б - 8) = 24б(у третьому) + 12б(у кв.) - 32б

4) (7а - 11б) × (2а +5б) = 14а(у кв.) + 35аб - 22аб - 55б(у кв.) = 14а(у кв.) + 13аб - 55б(у кв.)

Вас заинтересует