Пожалуйста! Помогите! Срочно!
Решите что сможете!
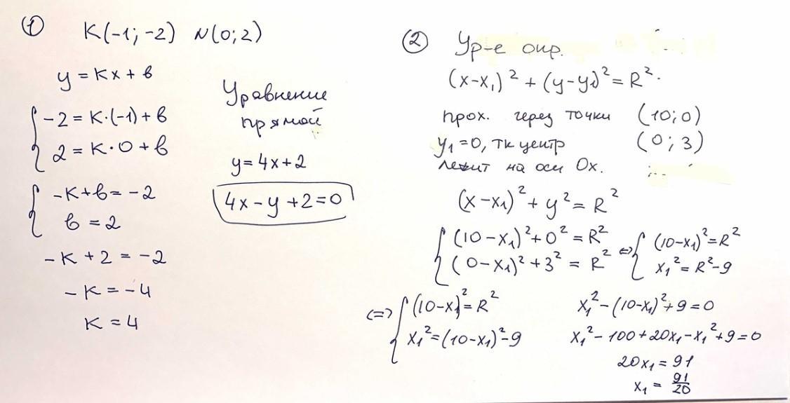
1) На данной прямой находятся точки K(−1;−2) и N(0;2). Напиши уравнение этой прямой. (Если коэффициенты отрицательные, вводи их вместе со знаком «−», без скобок.)
4x+..... y+.... =0.
2)Напиши уравнение окружности, которая проходит через точку 10 на оси Ox и через точку 3 на оси Oy, если известно, что центр находится на оси Ox.
(Рассчитай в дробях и дроби запиши несокращёнными.)
Ответы
Ответ дал:
3
Ответ:
Объяснение:
См. рис
Приложения:


sasha2004fil:
А почему в уравнении прямой 4x-y? Там же 4x+...
Найди координаты точек, в которых эта прямая пересекает оси координат.
1. Координаты точки пересечения с Ox:
(x=-2 y=0)
2. Координаты точки пересечения с Oy:
(x=0 y=-2)
Вас заинтересует
2 года назад
2 года назад
2 года назад
7 лет назад
7 лет назад
9 лет назад
9 лет назад