• Предмет: Алгебра
  • Автор: silverlakeyt101
  • Вопрос задан 3 года назад

Решите пожалуйста прошу


Хелп

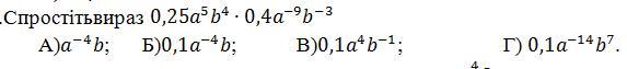
Приложения:

Ответы

Ответ дал: Qweeekg
1

0.25a^5b^4*0.4a^-^9b^-^3=0.1a^5b^4a^-^9b^-^3=0.1a^5^-^9b^4*b^-^3=0.1a^-^4b^4^-^3=\\=0.1a^-^4b

Вас заинтересует