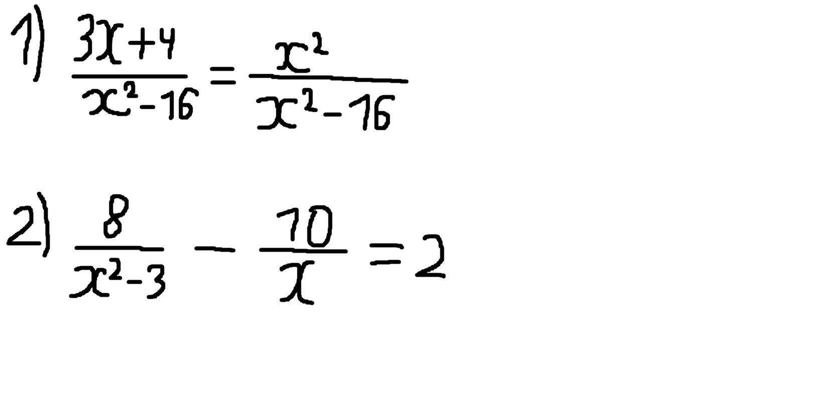
Нужно найти ответ на уравнение с дискриминантом, также нужно найти правильные ОДЗ и ОЗ
Приложения:

Ответы
Ответ дал:
1
Решение и ответ смотри во вложении.
Приложения:


Вас заинтересует
2 года назад
2 года назад
2 года назад
7 лет назад
7 лет назад