задаю вопрос повторно потому что не понятно, извиняюсь.вопрос:нужно найти неизвестный член ппропорции.попрошу по подробнее.спасибо
Приложения:

ranglepro:
ничего
Ответы
Ответ дал:
1
Ответ:
y=1 3/10 или 1,3
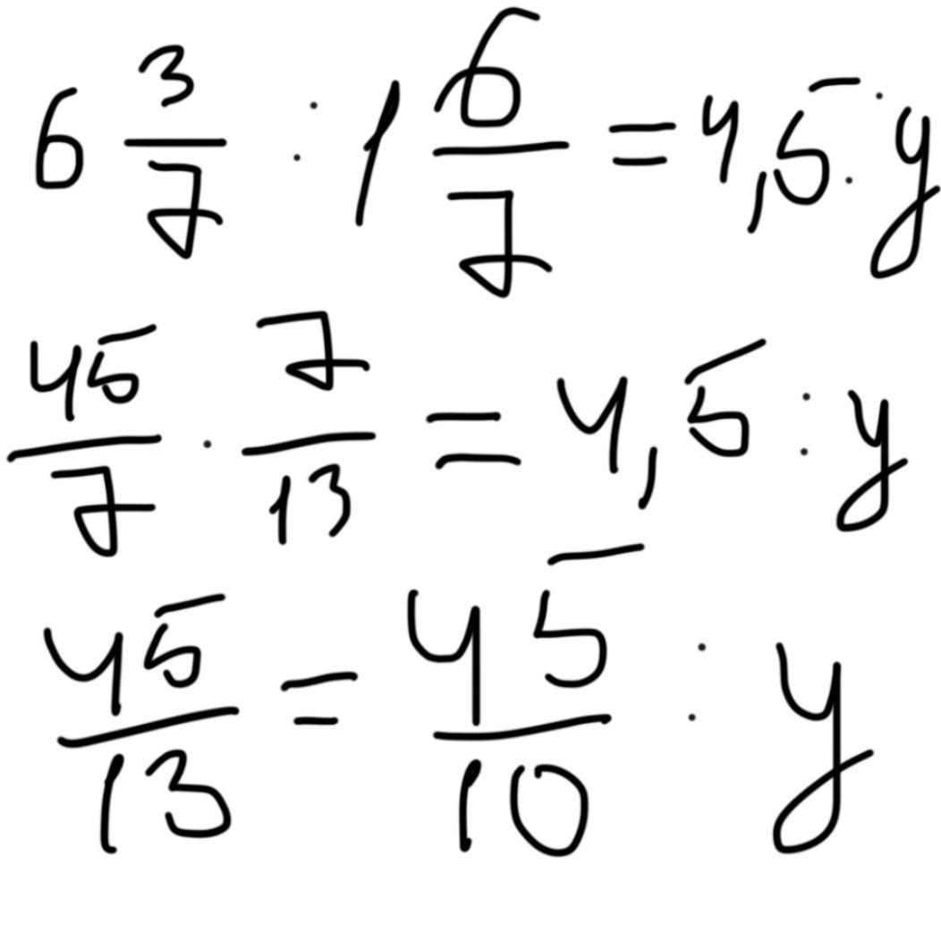
Решение на фото
Приложения:


Ответ дал:
1
Замени знак деления (:) , дробной чертой (/), и решай как пропорцию , крест на крест.
6 3/7 / 1 6/7 = 4,5/у
у = 1 6/7 * 4,5 / 6 3/7
у = 1 6/7 * 4 5/10 / 6 3/7
у = 1 6/7 * 4 1/2 / 6 3/7
у = 13/7 * 9/2 / 6 3/7
у = 117/14 / 45/7
у = 117/14 * 7/45
у = 13/10
у = 1 3/10
6 3/7 / 1 6/7 = 4,5/у
у = 1 6/7 * 4,5 / 6 3/7
у = 1 6/7 * 4 5/10 / 6 3/7
у = 1 6/7 * 4 1/2 / 6 3/7
у = 13/7 * 9/2 / 6 3/7
у = 117/14 / 45/7
у = 117/14 * 7/45
у = 13/10
у = 1 3/10
Вас заинтересует
2 года назад
2 года назад
7 лет назад
7 лет назад
9 лет назад
9 лет назад