• Предмет: Алгебра
  • Автор: puzyrnikov5615
  • Вопрос задан 3 года назад

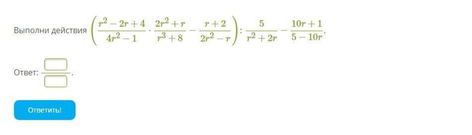
Пожалуйста, срочно нужна помощь с алгеброй

Приложения:

Ответы

Ответ дал: anna971905
0

держите решение..........

Приложения:

puzyrnikov5615: Блин, а сократить можно пожалуйста?)
puzyrnikov5615: Ответ должен быть не такой большой прост
puzyrnikov5615: ??
anna971905: так там нечего сокрощать
anna971905: это и есть конечный ответ
Вас заинтересует