• Предмет: Алгебра
  • Автор: ace121
  • Вопрос задан 3 года назад

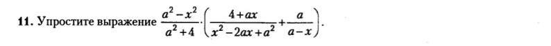
Решите пожалуйста по действиям даю 60 баллов )

Приложения:

Ответы

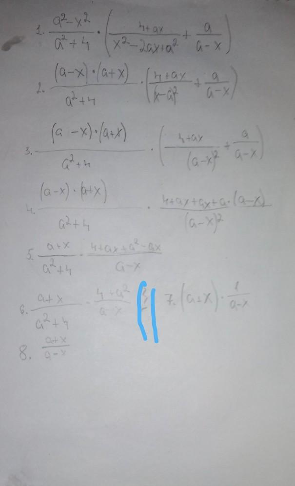
Ответ дал: sandrayablonska
1

Извините что долго!))) Надеюсь что помогла!

Приложения:
Вас заинтересует