• Предмет: Математика
  • Автор: gigufciiggi
  • Вопрос задан 3 года назад

ПОЖАЛУЙСТА ПОМОГИТЕ МНЕ С МАТЕМАТИКОЙ, ПОЖАЛУЙСТА СРОЧНО НАДОООО. Я ДАЮ ВСЕ СВОИ ПОСЛЕДНИЕ БАЛЛЫ. СРОЧЧННООООО,

Приложения:

gigufciiggi: в начале нет
gigufciiggi: 1 действие
gigufciiggi: мне срочно надо все
gigufciiggi: через час училка 2ку поставить, если не все будет
chelovek2797: щас постораюсь
gigufciiggi: йоу
gigufciiggi: скинь мне полностью
gigufciiggi: фотку
gigufciiggi: куда то

Ответы

Ответ дал: chelovek2797
0

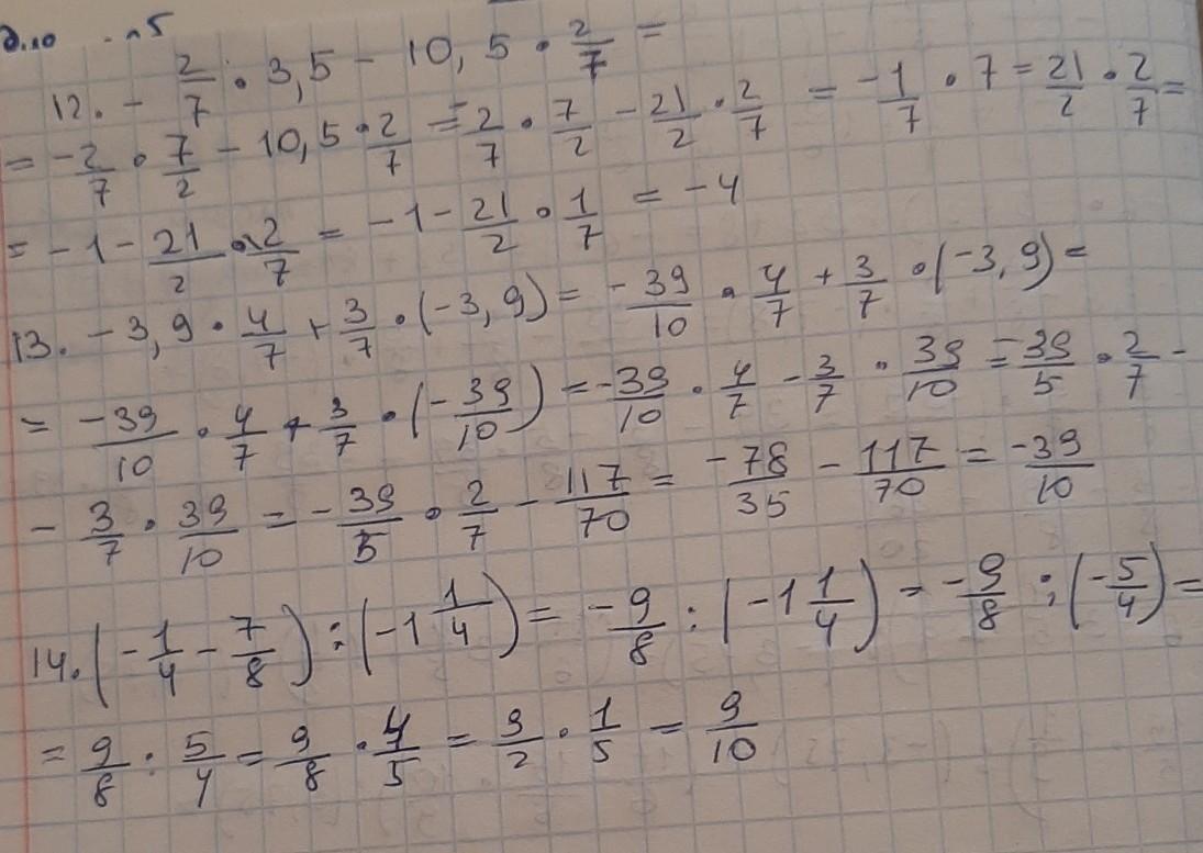
Сделаны на вложенном листе залания с 8-11 другие чуть позже.

Если мой ответ помог, пожалуйста Сделай его лучшим, и оцени!

Приложения:

chelovek2797: скинула
gigufciiggi: да там не понятно
gigufciiggi: немного
chelovek2797: что?
chelovek2797: все по этапам
chelovek2797: расписанно
chelovek2797: до 14
chelovek2797: сделала
chelovek2797: все подробно расписанно
chelovek2797: не забудь оценить и выбрать лучшим ответом ,если он помог.
Вас заинтересует