• Предмет: Математика
  • Автор: giBBonnnn
  • Вопрос задан 3 года назад

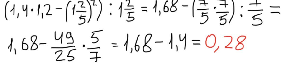
(1,4 * 1,2 - (1 2/5)² ) / 1 2/5 = ?

Срочно, пожалуйста

Ответы

Ответ дал: satanii
0

Ответ:

Решение на фото

Приложения:
Ответ дал: manyny06
0

Ответ:

решение смотри на фотографии

Пошаговое объяснение:

Приложения:

satanii: ну у меня ведь тоже неплохо?
satanii: ;((
Вас заинтересует