• Предмет: Математика
  • Автор: difoka5784
  • Вопрос задан 3 года назад

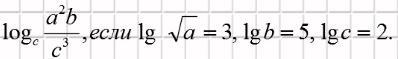
Решите пожалуйста пример по математике за 10 класс:

Приложения:

Ответы

Ответ дал: lidiasaraa3
1

..............................

Приложения:

difoka5784: Спасибо!
Вас заинтересует