Ответы
Ответ дал:
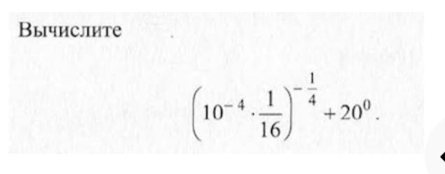
0
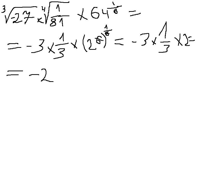
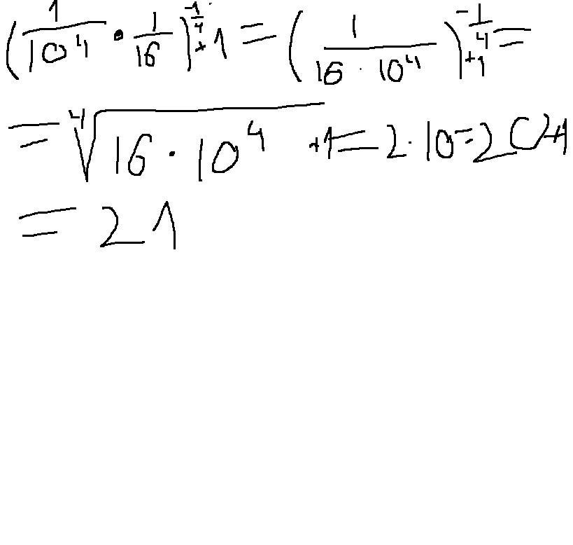
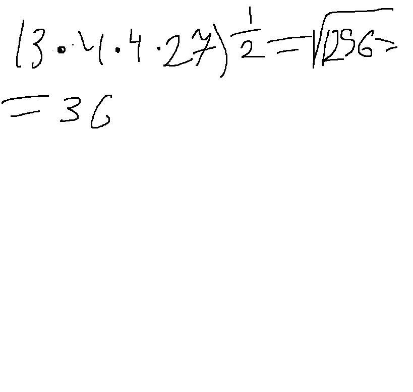
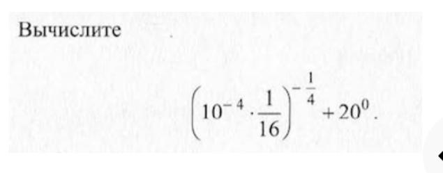
Ответ:
Пошаговое объяснение:
Приложения:




Вас заинтересует
2 года назад
2 года назад
2 года назад
7 лет назад
7 лет назад
9 лет назад
9 лет назад