Ответы
Ответ дал:
0
Ответ:
Объяснение:
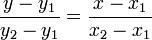
Чтобы получить ответ воспользуйся формулой уравнения прямой по двум точкам: например (-1;2) и (1;4). (y-2)/(4-2)=(x+1)/(1+1) Таким образом выходит y=x+3
Приложения:

Вас заинтересует
2 года назад
2 года назад
2 года назад
7 лет назад