Ответы
Ответ дал:
1
Ответ:
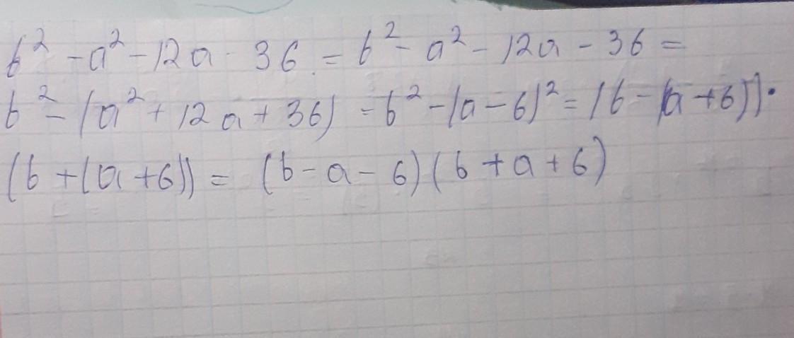
ответ во вложении.......
Приложения:

Ответ дал:
0
Ответ:
(b-a-6)×(b+a+6)
Удачи)
Вас заинтересует
2 года назад
7 лет назад
7 лет назад