Ответы
Ответ дал:
1
Ответ:
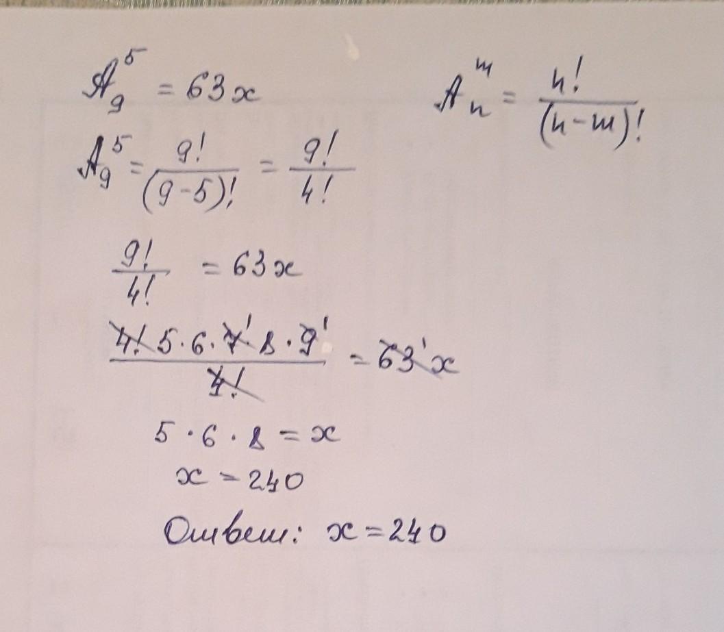
Комбинаторное уравнение.
Приложения:

МузаБеллаАняНаташа:
Вы мне очень помогли, но не могли бы вы помочь ещё с 1 примером?
Вас заинтересует
2 года назад
2 года назад
2 года назад
2 года назад
7 лет назад
9 лет назад