• Предмет: Алгебра
  • Автор: minskiy04
  • Вопрос задан 3 года назад

Жду решения, спасибо! Даю лучший ответ!

Приложения:

Ответы

Ответ дал: Universalka
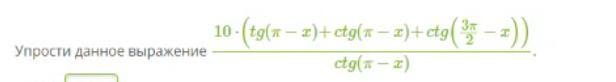
1

\frac{10(tg(\pi-x)+Ctg(\pi-x)+Ctg(\frac{3\pi }{2}-x))}{Ctg(\pi-x)}=\frac{10(-tgx-Ctgx+tgx)}{-Ctgx}=\frac{-10Ctgx}{-Ctgx}=10\\\\Otvet:\boxed{10}


rikmorr22: Привет,можешь решить ещё один пример?
rikmorr22: (5-х)`2=-(4-х)(х+4)
Вас заинтересует