Ответы
Ответ дал:
0
Ответ:
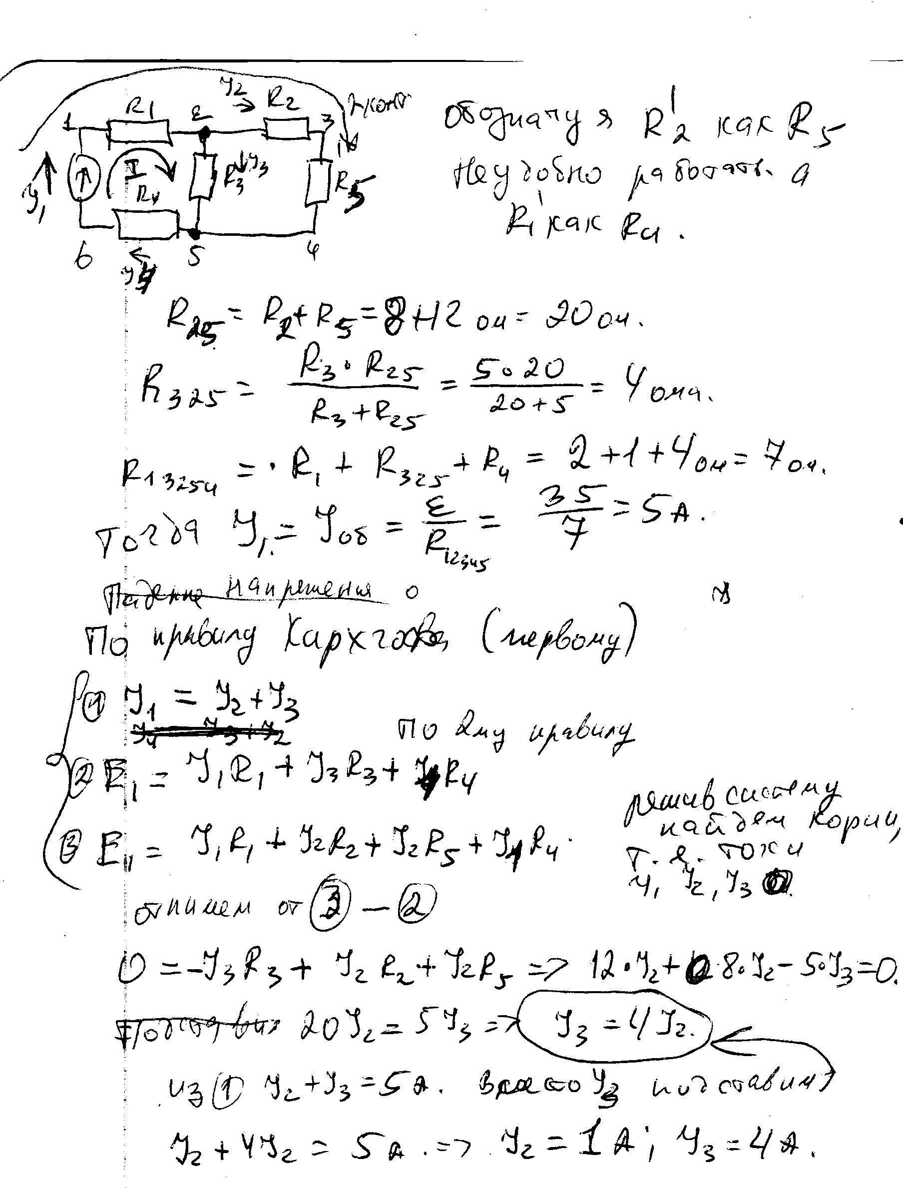
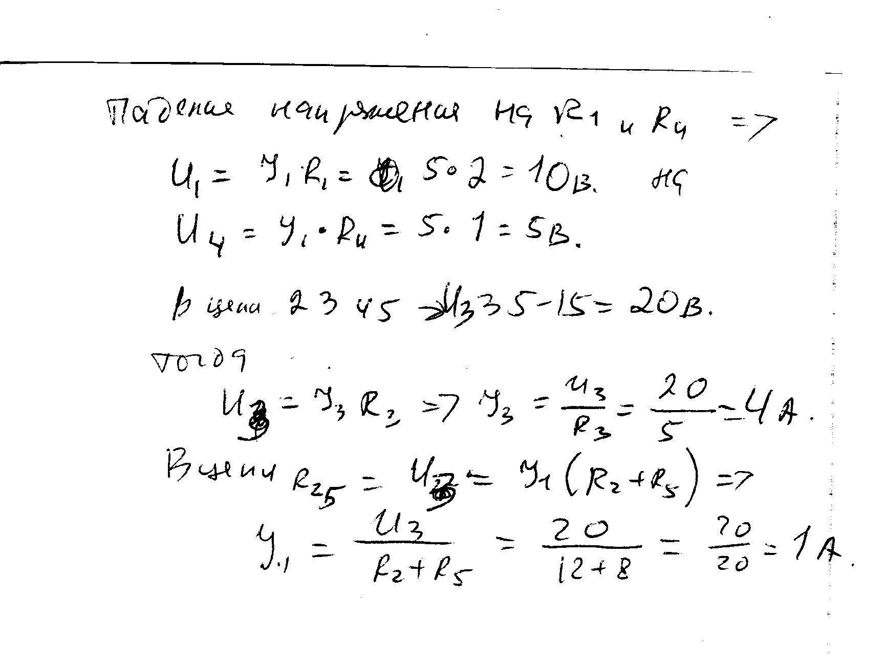
решение в скане... А правило Кирхгофа проходят в школе? Добавлю, на всякий случай более простое решение.
Объяснение:
Приложения:


Вас заинтересует
2 года назад
2 года назад
2 года назад
2 года назад
7 лет назад
7 лет назад
9 лет назад