Ответы
Ответ дал:
1
Ответ:
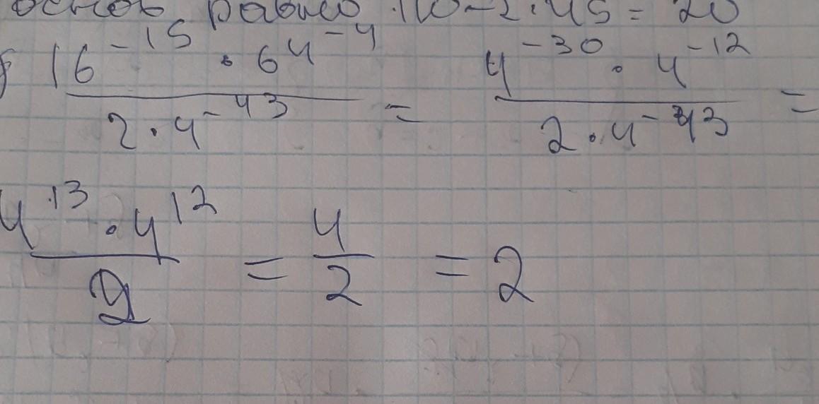
ответ во вложении....
Приложения:

Ответ дал:
1
Ответ:
Объяснение:
Вас заинтересует
2 года назад
2 года назад
2 года назад
2 года назад
7 лет назад
7 лет назад
9 лет назад