• Предмет: Математика
  • Автор: Saikaaa27
  • Вопрос задан 3 года назад

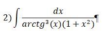
Вычислите неопределенный интеграл

Приложения:

Ответы

Ответ дал: Nullpo201
1

1)d(arctg(x)) = (arctg(x))'dx = dx/1+x²

2)£ dx/arctg³(x)(1+x²) = £ d(arctg(x))/arctg³(x) = £ d(t)/t³ = £ t^-3 dt = -0.5t^-2 + C = -1/2arctg²(x) + C


Saikaaa27: Спасибо, а можете скинуть фотографию данного решения
Вас заинтересует