• Предмет: Физика
  • Автор: akmaralnazarbekova14
  • Вопрос задан 3 года назад

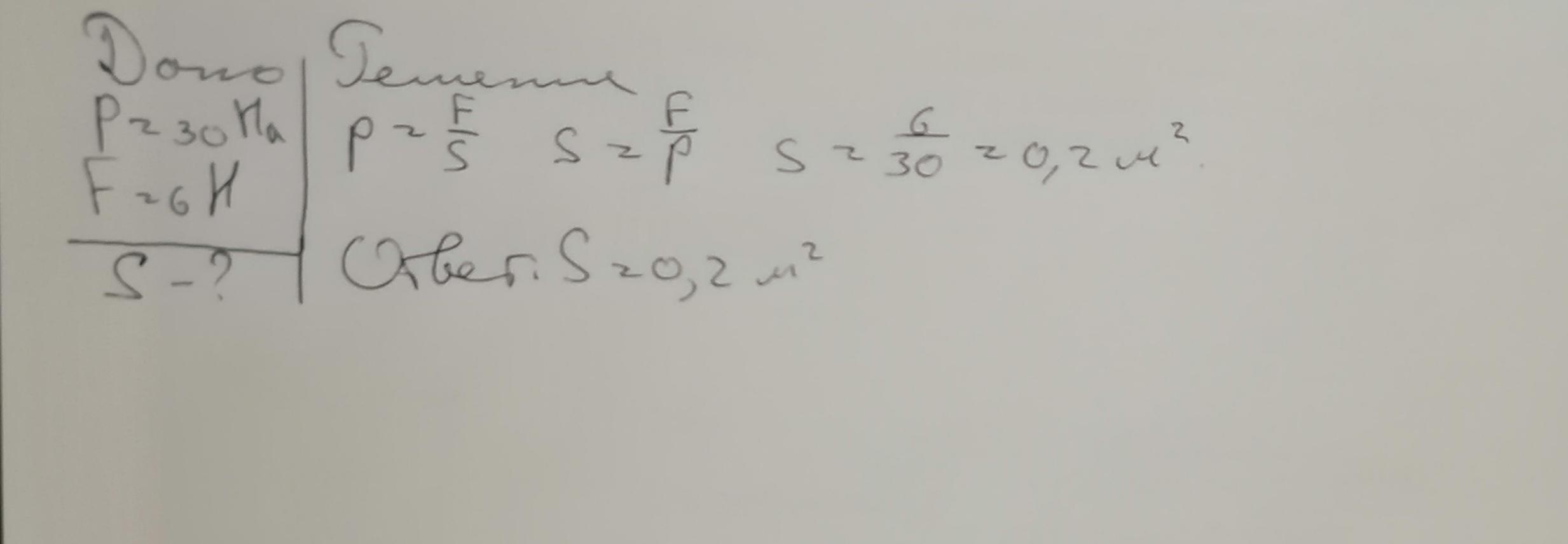
На крышку , закрывающую сосуд, газ оказывает давление в 30 Па,действуя на неё с силой 6Н .Какова площадь этой крышки. Решите задачу , дано , формула , решения.​

Ответы

Ответ дал: Luckyzizi
3

Ответ: решение во вложении

Приложения:
Вас заинтересует