• Предмет: Математика
  • Автор: nelia233babenko
  • Вопрос задан 3 года назад


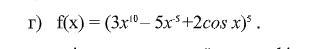
Найти производную функции:......................

Приложения:

Ответы

Ответ дал: natalyabryukhova
1

Ответ:

Пошаговое объяснение:

f'(x)=((3x^{10}-5x^5+2cosx)^5)'=5(3x^{10}-5x^5+2cosx)^4*(30x^9-25x^4-2sinx)

Вас заинтересует