• Предмет: Алгебра
  • Автор: sonyaweiro
  • Вопрос задан 3 года назад

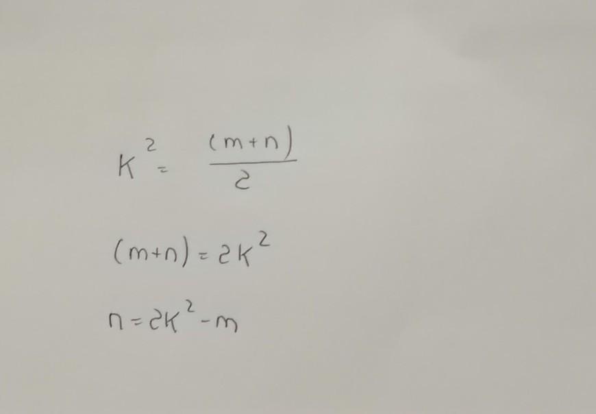
Выразите из формулы k^2 = (m + n)/2 переменную n

распишите решение пожалуйста

Ответы

Ответ дал: Luckyzizi
1

Ответ: смотри во вложении

Приложения:
Вас заинтересует