• Предмет: Физика
  • Автор: Larik988
  • Вопрос задан 3 года назад

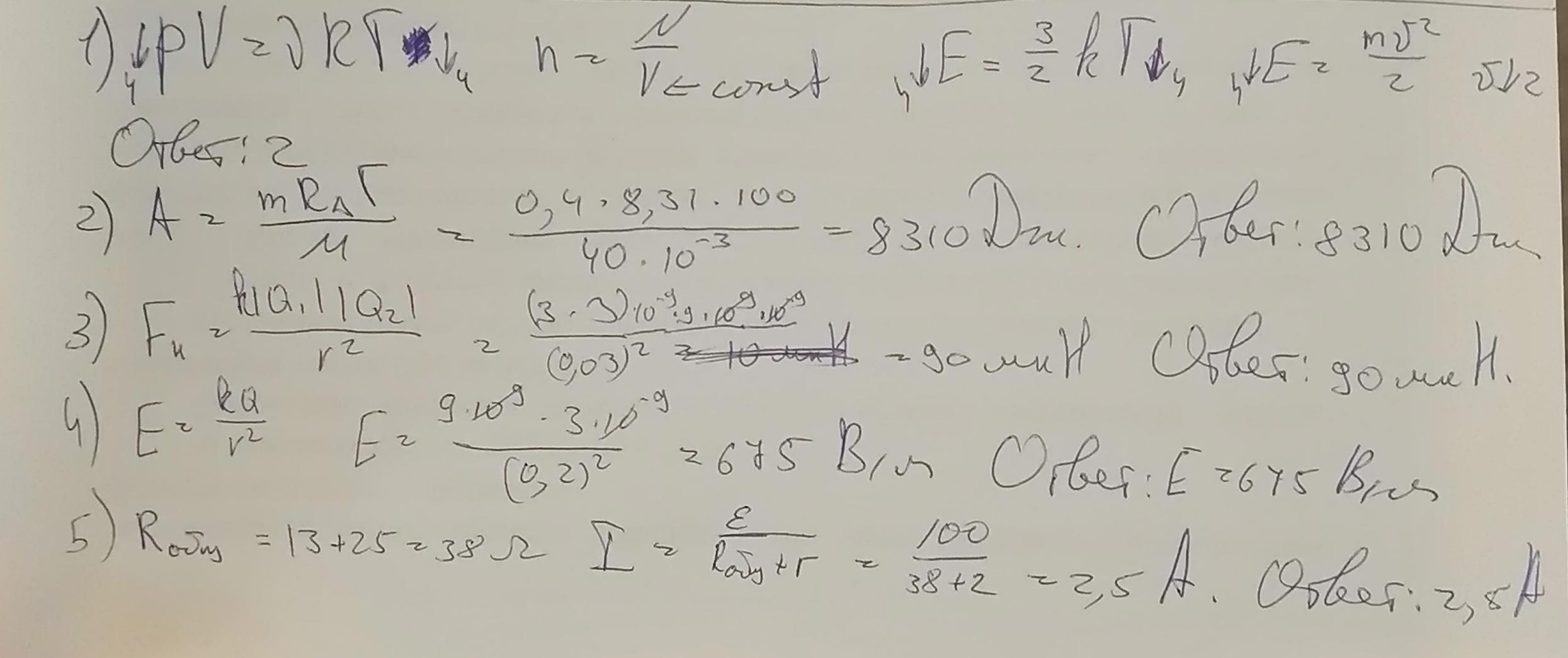
5. При неизменной концентрации молекул идеального газа  в результате охлаждения давление газа уменьшилось в 4 раза. Средняя квадратичная скорость теплового движения молекул газа при этом:
1. уменьшилась в 16 раз;
2. уменьшилась в 2 раза;
3. уменьшилась в 4раза;
4. не изменилась
6. . Какую работу совершил аргон массой 0,4 кг при его изобарном нагревании на 100С?
Ответ:______Дж.
7. Чему равен модуль силы взаимодействия двух неподвижных точечных зарядов +3 нКл и – 3 нКл, расположенных на расстоянии 3см?
 Ответ:_______Н.
8 .  Определите модуль вектора напряжённости  электрического поля точечного заряда 3нКл находящегося в воздухе, в точке удалённой от него на расстоянии 0,.2 м 
9. Электрическая цепь состоит из двух резисторов сопротивлением 13 Ом и 25 Ом соединённых последовательно, источника тока с ЭДС 100 В и внутренним сопротивлением 2 Ом. Определите силу тока в цепи.
Ответ:_______А.

Ответы

Ответ дал: Luckyzizi
2

Ответ: решение во вложении

Приложения:
Вас заинтересует