составьте предложение по схеме пожалуйста

Приложения:

Ответы

Ответ дал: sovushkagws
1

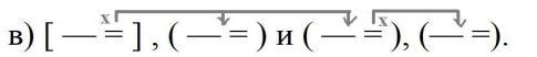
Ответ:

Рассвет таял, когда солнце начинало палить и всё замирало, словно он просил что-то услышать напоследок.

Объяснение:

Рассвет таял

  1. (когда?) когда солнце начинало палить;
  2. (когда?) когда всё замирало;

всё замирало

(почему?) он просил что-то услышать напоследок.

Вас заинтересует