Ответы
Ответ дал:
1
1) (х-5) (х+5)-х (х-4)
x^2-25-x^2+4x=4x-25
2) (c+4)^2 + (с-9) (с+25)
c^2+8c+16+c^2+25c-9c-225=2c^2-24c-209
Ответ дал:
1
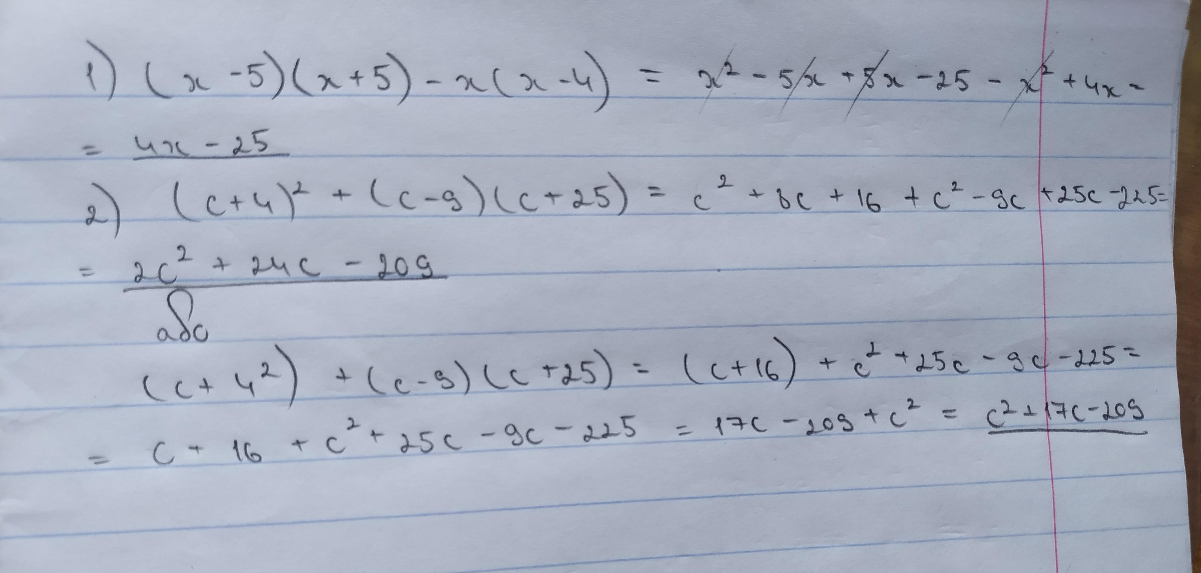
Ответ на фотке)))))))
Объяснение:
Приложения:

Вас заинтересует
2 года назад
2 года назад
2 года назад
2 года назад
7 лет назад
9 лет назад