• Предмет: Алгебра
  • Автор: sjhwwhwj
  • Вопрос задан 3 года назад

ПОЖАЛУЙСТА ПОМОГИТЕ УМОЛЯЮ ЗА 15 БАЛОООВ

Приложения:

Ответы

Ответ дал: pupsenvupsen1
0

ответ 3) -119

Д=(-1)²-4*3*10=1-120=-119

Ответ дал: aleksandrlisanskij18
0

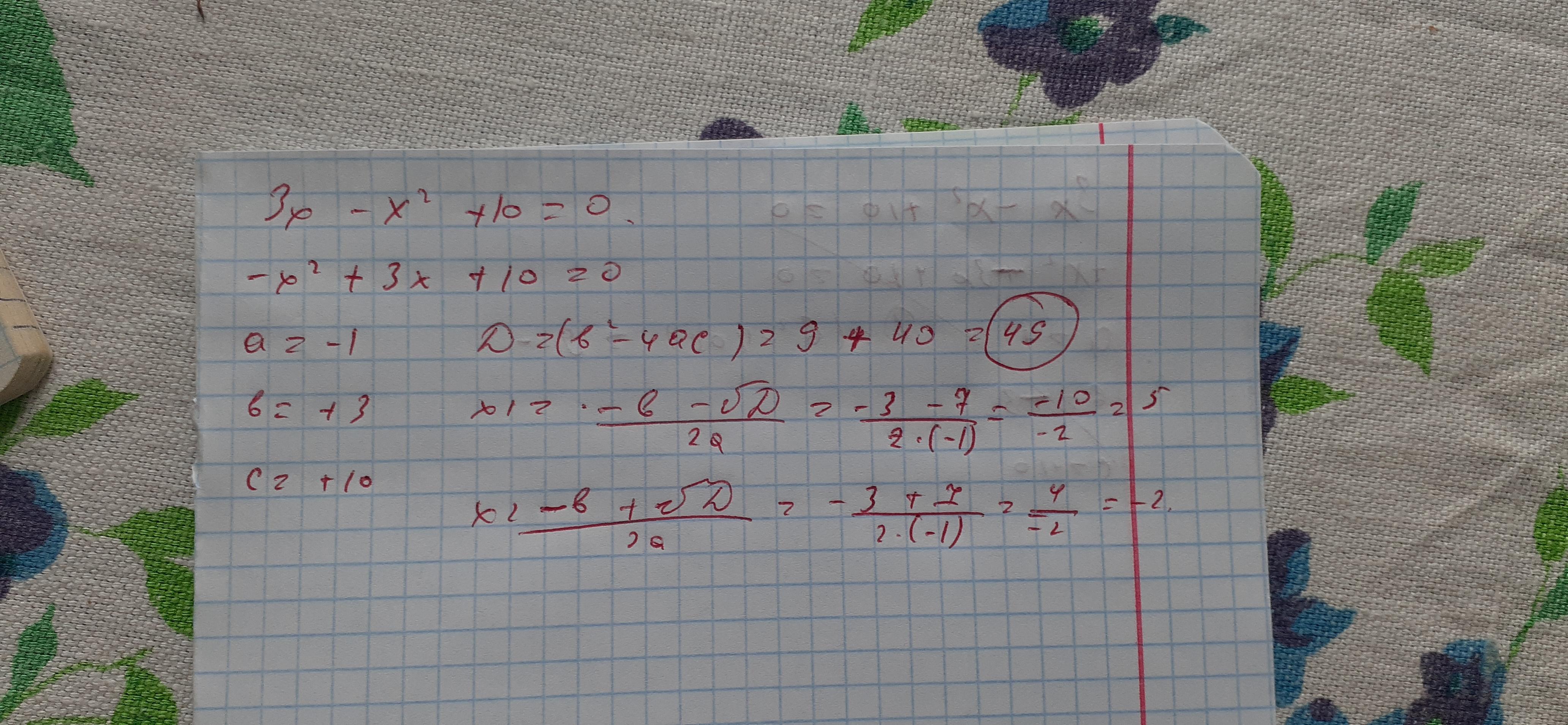
Ответ:

Объяснение:

Решение на фото

Ответ :1)49

Приложения:
Вас заинтересует