• Предмет: Алгебра
  • Автор: Baazilik
  • Вопрос задан 3 года назад

Примерчик с логарифмами

Приложения:

Ответы

Ответ дал: sangers1959
1

Объяснение:

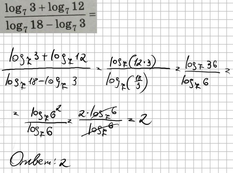
\frac{log_73+log_712}{log_718-log_73} =\frac{log_7(3*12)}{log_7\frac{18}{3} }=\frac{log_736}{log_76}=\frac{log_76^2}{log_76}   =\frac{2*log_76}{log_76}=2.

Ответ дал: Ilyazov45
1

Ответ:

2

Объяснение:

...............

Приложения:
Вас заинтересует