• Предмет: Алгебра
  • Автор: samurai1233
  • Вопрос задан 3 года назад

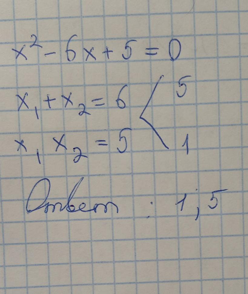
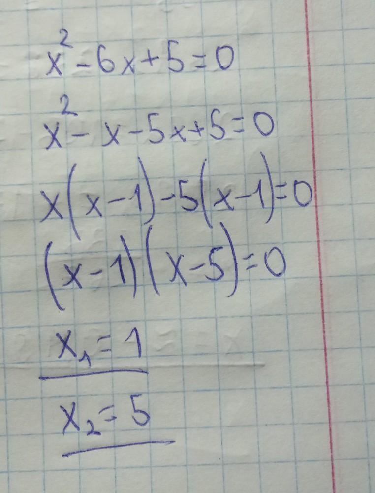
x^2-6x+5=0
Решите пж​

Ответы

Ответ дал: predator22037
1

Ответ:

по теореме Виета

.......

Приложения:
Ответ дал: bodyatop9323
1

Ответ:

смотри фото

Объяснение:

===≠=======

Приложения:
Вас заинтересует