• Предмет: Математика
  • Автор: mashyla295ovebte
  • Вопрос задан 3 года назад

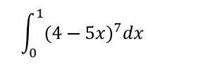
ОЧЕНЬ ВАЖНО! вычислить интеграл помогите пожалуйста. Даю 20 балов


развернуто пожалуйста

Приложения:

Ответы

Ответ дал: roboksas2009
1

.................... 0.0.

Приложения:

mashyla295ovebte: А пояснения можете пожалуйста отправить?
mashyla295ovebte: Я просто ответ знаю, а рсамо решение нет, поэтому если обьяснений не будет, мне придется отметить как нарушение ответ. Пожалуйста читайте вопрос, я же написала "развернуто"
roboksas2009: найти неопределённый интеграл, упростить интеграл используя метод замены переменной , используй свойства интегралов, вычесли интеграл, поставь обратно, умножь дроби, верни приделы интегрирования, вычисли выражения, вычисли значение
mashyla295ovebte: Ладно, спасибо
Вас заинтересует