• Предмет: Алгебра
  • Автор: ra967816
  • Вопрос задан 3 года назад

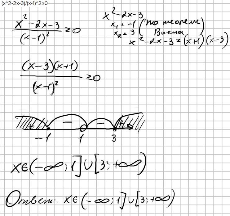
РОЗВ'ЯЖІТЬ НЕРІВНІСТЬ (х^2-2x-3)/(x-1)^2≥0 МЕТОДОМ ІНТЕРВАЛІВ!!ХЕЕЕЛП))))

Ответы

Ответ дал: Ilyazov45
1

Ответ:

x∈(-∞;1]∪[3;+∞)

Объяснение:

Приложения:
Вас заинтересует