• Предмет: Алгебра
  • Автор: sanisav102
  • Вопрос задан 3 года назад

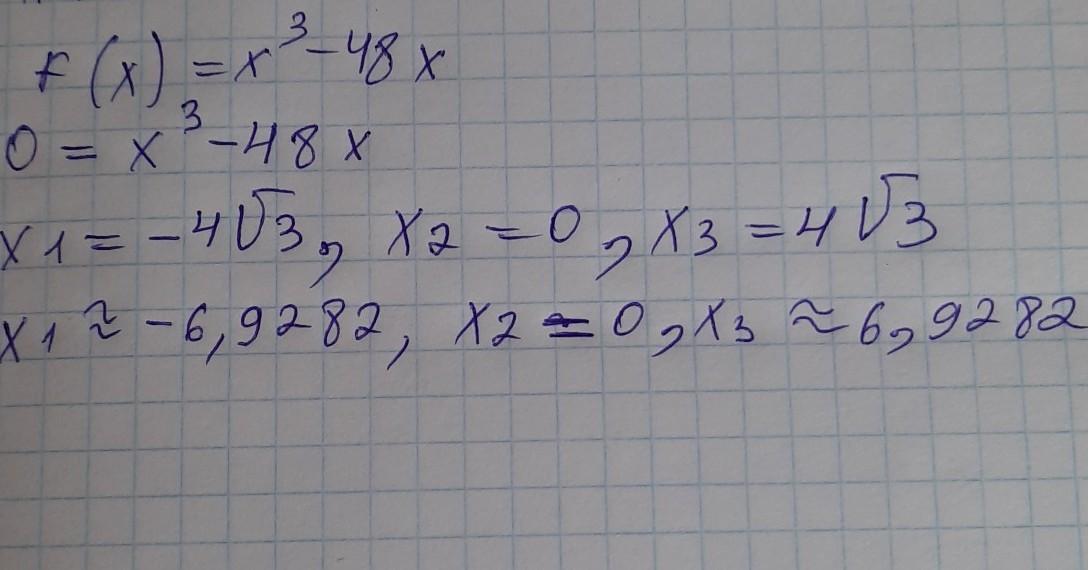
Знайдіть екстремуми функції f(x)= х3 -48х

Приложения:

Ответы

Ответ дал: Vika1112136
1

Ответ:

Ответ и решение приложила в фото

Приложения:
Вас заинтересует