• Предмет: Алгебра
  • Автор: MirisaEevee
  • Вопрос задан 3 года назад

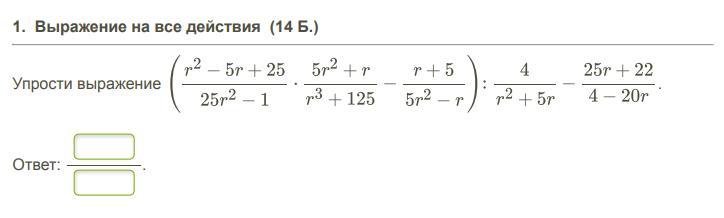
Выражение на все действия. Срочно. 30 баллов.

Приложения:

Ответы

Ответ дал: krampus777
0

ОТВЕТ НА ФОТО

Надеюсь помог))))

Приложения:
Вас заинтересует