• Предмет: Алгебра
  • Автор: lesya2005p
  • Вопрос задан 3 года назад

ПОМОГИТЕ ПОЖАЛУЙСТА ОЧЕНЬ НАДО, ДАЮ 30 БАЛОВ

Приложения:

Ответы

Ответ дал: cistalevak
1

Ответ:

1)2

2)4 я не уверена

3)15\/2 умножить на 2

4)решение фото

Объяснение:

Все хватит с меня

Дальше другой поможет

Приложения:
Ответ дал: sangers1959
0

Ответ:

Объяснение:

1.  3) [0,6;0,7].

2. 2) точка В.

3. 1) 15√2.

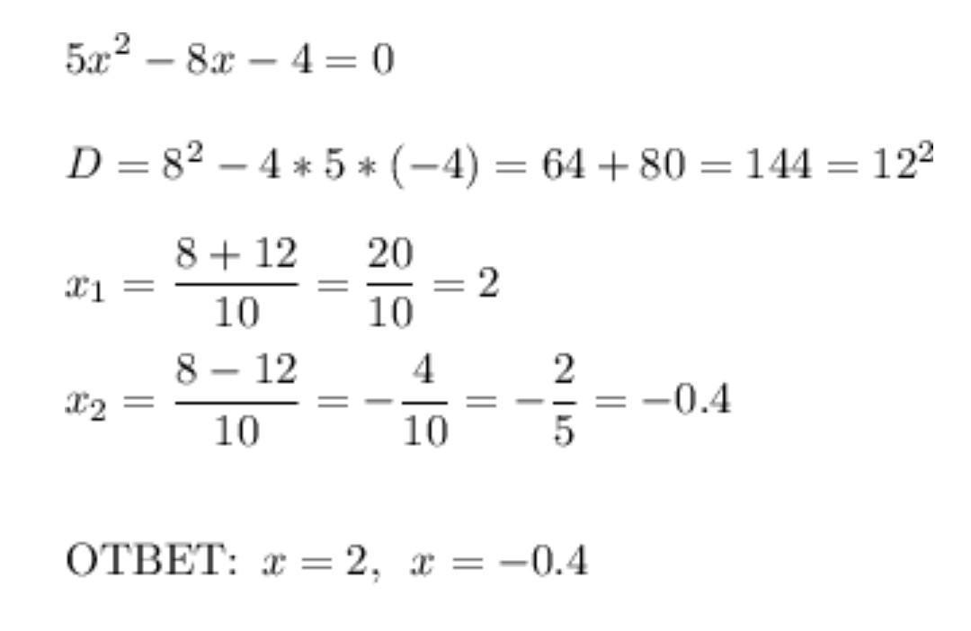
4. 5x²-8x-4=0    D=144    √D=12     x₁=2    x₂=-0,4.

5. A) - 1); Б) - 3); В) - 2).

6.

\frac{x^{2} }{x^{2}+6xy } :\frac{x^ }{x^{2}-36y^2 } =\frac{x^2}{x*(x+6y)} *\frac{(x+6)*(x-6)}{x} =\frac{x^2*(x+6)*(x-6)}{x*x*(x+6)} =x-6=4-6=-2.

7. 3) x>-1.

8. 4) 1/16.

9)

Пусть скорость велосипедиста на пути из А в Б - х.     ⇒

\frac{60}{x}-\frac{60}{x+10}=3\\  60*(x+10)-60x=3*x*(x+10)\\60x+600-60x=3x^{2} +30x\\3x^{2} +30x-600=0 |:3\\x^{2}+10x-200=0\\ D=900;\sqrt{D} =30\\

x₁=10     x₂=-20 ∉

Ответ: скорость велосипедиста на пути из А в Б 10 км/ч.

10.

\left \{ {{2x-3\leq5 } \atop {7-3x\leq1 }} \right. ;\left \{ {2{x} \leq8|:2 \atop {3x\geq 6|:3 }} \right. ;\left \{ {{x\leq4 } \atop {x\geq 2}} \right.

Ответ: x∈[2;4].

Вас заинтересует