Ответы
Ответ дал:
3
Пошаговое объяснение:
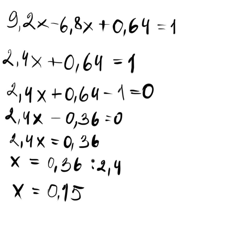
9,2x-6,8x+0,64=1 |*100
920x-680x+64=100
240x=36 | :240
x=0,15
ilinav770:
можно по проще
Ответ дал:
0
Ответ:
Пошаговое объяснение:
Приложения:

Вас заинтересует
2 года назад
2 года назад
2 года назад
7 лет назад
7 лет назад
9 лет назад
9 лет назад